Журнал теоретической диалектики-физики-математики http://www.dialectical-physics.org
Главная
Главная страница журнала
Содержание выпуска A-03
Содержание выпуска [A-03]
E-mail автора
E-mail (Леонид Георгиевич Крейдик): info@dialectical-physics.org
Назад
Предыдущая страница
Вперед
Следующая страница

5. Критический анализ постулатов Бора, излагаемых в высшей школе

Л. Г. Крейдик

___Обсуждаем постулы Бора, следуя книге Акоста и др. [В. Акоста, К. Кован, Б. Грем, Основы современной физики , М “ Просвещение”, 1981 V. Acosta, C.L. Cowan, B.J. Graham, Essentials of Modern Physics, Harper & Row, Publishers, New York, Evanston, San Francisco, London].

___Первый постулат гласит:

Электрон обращается по круговой орбите под действием кулоновской силы и в соответствии с законами Ньютона.

___Формальный закон Кулона выражает усредненную картину обмена и рождает иллюзию существования стационарного “электростатического поля”, в котором невозможно понять исключительную устойчивость орбитального движения электрона, и, следовательно, H-атома.

___Действительное движение носит волновой характер, и система H-атома (протон-электрон) представляет собой волновую систему поля-пространства материи-времени продольно-поперечной структуры. Между протоном и окружающим полем-пространством имеет место волновой обмен материей-пространством-временем, который частично замыкается на электрон. Это значит, пока существует динамическое равновесие обмена между H-атомом (протоном-электроном) и окружающим полем материи-пространства-времени, система остается устойчивой. Обмен происходит на круговой частоте субатомного уровня поля материи-пространства-времени, которая определяется волновым временным вектором поля потенциально-кинетического времени:

. (5.1)

___Волновое временное поле частоты неразрывно связано с элементарной радиальной пространственной волной-квантом:

, (5.1а)

которая представляется в физике как средний радиус атома.

___Масса и заряд электрона носят присоединенный характер - это полевые характеристики обмена электрона в поле материи-пространства-времени. Строго говоря, у электрона нет заряда e, как некоторого его внутреннего параметра, заряд - это мера потенциально-кинетического взаимообмена материей-пространством-временем между электроном и окружающим полем-пространством субатомного уровня.

___Заряд - переменная гармоническая величина, пульсирующая с частотой . Поэтому классическое представление о заряде электрона, как отрицательной постоянной величине, носит условный характер и не соответствует действительности. При ионизации H-атома нарушается динамическое равновесие между H-атомом и окружающим полем-пространством материи. В этом случае H-атом, как -ион (протон), считают заряженным, полагая заряд иона равным заряду электрона с положительным знаком. Такое описание дает правильную амплитудную меру нарушения равновесия, но не более.

___- ион обменивается материей-пространством-временем с окружающим полем-пространством, к которому добавляется нескомпенсированный электронный обмен фундаментальной частоты , позволяющий приписать положительный заряд -иону, равный по величине заряду электрона.

___Скорее всего, круговая частота, т.е. фундаментальное временное волновое число субатомного поля, есть основная круговая частота субатомного уровня, с которой связаны остальные частотные уровни. В таком эксачастотном поле устойчивые состояния образуют спектр динамически стационарных состояний, выражаемых характеристическими значениями аргументов функций Бесселя.

___Второй постулат утверждает:

Из всех возможных орбит являются разрешенными лишь те, на которых момент импульса электрона удовлетворяет равенству:

, (5.2)

что неверно, ибо квант действия и момент импульса в сферическом поле величины постоянные:

. (5.2а)

___Третий постулат поясняет:

При движении электрона по стационарной орбите атом не излучает энергию.

___Постулат неточен: электрон в волновом движении по стационарной орбите излучает и поглощает энергию, причем процесс обмена носит динамически равновесный характер и относится к локальному, колебательному, или "нулевому" уровню обмена. Волны нулевого волнового возмущения будут равны:

, (5.3)

где - относительная мера случайных колебаний радиуса орбиты на уровне нулевого обмена. Случайные возмущения радиуса орбиты , очевидно, определяются амплитудами колебаний в сферическом поле H-атома:

, (5.3а)

где А - некоторая постоянная.

___Таким образом, для волн, порождаемых возмущениями стационарных состояний H-атома, получаем соотношение:

. (5.3b)

___Найдем постоянную А, принимая во внимание, что энергия возбуждения и элементарного электронного излучения на уровне боровской оболочки сферического поля H-атома может быть представлена энергетическим равенством:

. (5.4)

Отсюда имеем:

, (5.4а)

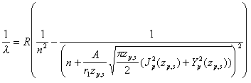
где - радиус Бора, h - постоянная Планка, - постоянная Ридберга, - масса протона.

При ноль второй кинетической оболочки и

, (5.5)

а первому неравному нулю экстремуму отвечает волна

. (5.5а)

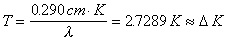
___Волны (5.5) и (5.5а) должны находиться в области экстремума спектральной плотности излучения, поэтому они позволяют оценить абсолютную температуру этого уровня. Для волны (5.5) имеем

, (5.6)

где - мера фундаментального периода-кванта.

___Полученная температура практически совпадает с температурой 2.7K “реликтового” фона. Таким образом, “реликтовое” излучение - миф большого взрыва образования Вселенной, и ничего больше.

___Формула (5.3) определяет волны излучения-поглощения весьма малой интенсивности и относительно большой длины, которые входят в качестве составляющих волн нулевого уровня.

___Нулевой уровень визуально не воспринимается и интегрально характеризуется абсолютной температурой нулевого уровня.

___При нарушении равновесия, возникают процессы излучения-поглощения, описываемые четвертым постулатом.

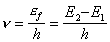
___Четвертый постулат определяет частоту излучения:

___При переходе электрона с одной орбиты с энергией на другую орбиту с энергией () излучается фотон с энергией и частотой

. (5.7)

___При взаимодействии некоторого сигнала определенного уровня с H-атомом возможно нарушение динамического равновесия, в результате чего в H-атоме происходит перестройка. Эта перестройка есть волновое движение-покой переходного характера H-атома из одного динамически устойчивого состояния в другое.

___В количественном отношении постулат верен, но в качественном отношении он неверен, ибо энергия или есть энергия электрона в переходном процессе. В переходном процессе возникает волновое возмущение. В нем участвуют мириады частиц субатомного уровня, а не математическая точка-фотон с нулевой энергией покоя, которая движется в “вакууме со скоростью с и обладает волновыми свойствами”.

___Спекулятивный фотон бурная фантазия махизма и Эйнштейна. По Эйнштейну и канонам квантовой механики фотон возникает мгновенно вне пространства и времени с массой “движения” и движется с постоянной скоростью с.

___Согласно релятивизму, несостоятельность которого была выяснена в первом номере журнала, фотон обладает нулевой протяженностью, и поэтому представляет собой математическую точку, а не реальный мотатор поля-пространства - он лишь математический объект формального описания излучения.

___Время переходного процесса весьма мало и лежит, по-видимому, в области десятков - сотен фундаментальных интервалов времени :

, (5.8)

поэтому зарегистрировать такой процесс сегодня практически невозможно, отсюда и появились математические квантовые скачки, утверждающие, что переход из одного состояния атома в другое совершается мгновенно, минуя промежуточные состояния. Идеология квантовой механики исключает переходные процессы, заменяя их мгновенными скачками, т.е. переходами с бесконечной скоростью; это вершина абсурда квантовой механики, которая не соответствует физической картине излучения и общим законам Диалектики и Мира.

___Естественный квантовый переход в реальном поле материи-пространства-времени носит ускоренный, импульсный характер со всеми промежуточными состояниями. В земной коре дискретные переходы представляются землетрясениями и извержениями вулканов, длительность которых ничтожно мала в сравнении с эволюционными изменениями.

___Возникновение при определенных условиях импульсных, или революционных процессов-скачков, в результате которых совершается движение из одного состояния произвольной системы, в том числе и человеческого общества, в другое состояние - непреложный закон природы. Такие переходы оцениваются конечными дифференциалами тех или иных параметров, равных разности значений параметров до и после перехода, и они не имеют ничего общего с формальными математическими квантами-скачками квантовой механики.

___В заключение коснемся природы “красного смещения”. Принято считать, что красное смещение есть результат разбегания галактик. Однако такое представление не бесспорно. В самом деле, энергия микрочастиц микрогалактического поля Вселенной может быть представлена в виде

, (5.9)

где индекс X отмечает действие любой частицы массой m, принимающей участие в волновом возбуждении сферического поля H-атомов субатомного уровня. Плотность энергии поля , очевидно, пропорциональна также частоте:

, (5.10)

где - средняя плотность волнового действия величина постоянная, так как постоянно действие.

___В волновых процессах, которые протекают в многомерном пространстве Вселенной, имеет место не только горизонтальный, но и вертикальный обмен, уходящий в глубь подпространств с ничтожно малым изменением энергии.

___Согласно (5.48) подобные изменения энергии сопровождаются уменьшением частоты и увеличения длины волны по мере распространения волн на значительные космические расстояния. В силу этого длины волн от весьма далеких от солнечной системы объектов увеличиваются, и ночное небо глазам человека представляется темным. Поэтому утверждать, что красное смещение это обязательно результат расширения Вселенной преждевременно - нельзя не учитывать обмен между параллельными Мирами, примыкающими к субатомному уровню.


К началу страницы
Назад
Предыдущая страница
Вперед
Следующая страница

Copyright © Л.Г.Крейдик , 2001-2005