Журнал теоретической диалектики-физики-математики http://www.dialectical-physics.org
Главная
Главная страница журнала
Содержание выпуска A-03
Содержание выпуска [A-03]
E-mail автора
E-mail (Леонид Георгиевич Крейдик): info@dialectical-physics.org
Назад
Предыдущая страница
Вперед
Следующая страница

3. Волновое поле H-атома на микро и мегауровнях

___Рассмотрим в общих чертах основные свойства волнового поля, выражаемого уравнением закона отрицания отрицания:

. (3.1)

___Уравнение двойного отрицания (3.1) в сферической системе координат описывает сферическое поле атома определенного подпространства Вселенной, элементарная структура которого выражается функциями вида:

, (3.2)

, (3.2а)

где - потенциально-кинетическая амплитуда азимутальной функции . Индекс l отмечает радиальную функцию сферического поля вида:

, (3.2b)

где - потенциально-кинетическая постоянная радиальной функции потенциально-кинетического поля. При условии радиальная функция сферического поля

, (3.3)

где - комплексная амплитуда, зависящая от волнового числа l.

___В стационарном сферическом поле поток полной энергии на уровне базиса через сферическую поверхность величина постоянная:

, (3.4)

где , - плотность полной энергии, - расстояние выраженное в волновых радиусах: и с - волновая скорость базиса. Отсюда следует, что

. (3.5)

___Если радиальная функция сферического поля (3.3) описывает поле потенциально-кинетической скорости, тогда с точностью до фазовой экспоненты она равна скорости (3.5), что и следовало ожидать. Подобного равенства для радиальных функций Шредингера нет, что указывает на их искажение реальной структуры сферического поля.

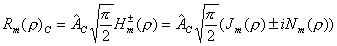
Волновое уравнение (3.1) в цилиндрической системе координат описывает цилиндрическое поле атома функциями:

, (3.6)

, (3.6а)

где - комплексная амплитуда осевой функции. Индексом C отмечаем радиальную функцию цилиндрического поля

. (3.7)

где - потенциально-кинетическая постоянная радиальной функции.

___Сравнивая радиальную функцию сферического поля (3.2b) с радиальной функцией цилиндрического поля (3.7), находим:

, (3.7а)

если . (3.7b)

___Таким образом , характеристические орбиты цилиндрического поля являются одновременно и характеристическими оболочками сферического поля при условии (3.7b).

___Если радиальная функция цилиндрического поля принимает вид:

, (3.8)

где - потенциально-кинетическая амплитуда, связанная с волновым числом m.

___В стационарном цилиндрическом поле поток полной энергии на уровне базиса через цилиндрическую поверхность величина пропорциональная высоте цилиндрической волновой поверхности l:

, (3.9)

В таком случае

, (3.10)

что повторяет структуру радиальной функции цилиндрического поля.

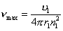
___Формулы (3.3) и (3.5), индуцирую второй закон Кеплера

, (3.11)

а формулы (3.8) и (3.10) - третий закон Кеплера

. (3.12)

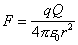
___Для любой массы, согласно (3.12), можно записать , и, разделив это равенство на , получим выражение скорости F обмена импульсом:

. (3.13)

___Так как колебательная скорость пропорционально некоторой круговой частоте, то следует ожидать, что может быть пропорциональна квадрату некоторой фундаментальной частоты . Далее, если m - масса спутника, то по соображениям симметрии можно полагать, что также пропорциональна массе центрального тела M:

. (3.13а)

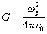
___Поскольку масса пропорциональна , - , то оставшаяся должна быть обратно пропорциональна . В итоге, с учетом коэффициента сферической симметрии поля , получаем в развернутом виде равенство (3.12):

, (3.14)

выражающее закон центрального взаимообмена (закон “гравитации”) с гравитационной постоянной

. (3.14а)

___Следует заметить, что стандартная форма закона гравитации качественно неверна: в ней поле гравитации мотатора не является сферически симметричным, хотя в количественном отношении закон Ньютона верен. Следовательно, с точки зрения истинности-ложности имеет место диалектическая ситуация Da-Net: закон верен количественно и ложен качественно.

___Если представить закон (3.14а) в двух формах

, (3.15)

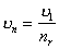
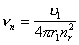
то орбитальная скорость будет определяться формулой

, __где __, (3.15а)

причем k - некоторый волновой вектор.

___Таким образом, орбитальные скорости спутников - это скорости в цилиндрической гравитационной волне, что и должно быть, и это скорости поперечной составляющей гравитационного поля.

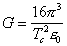
___Согласно равенству (3.14а) определяем фундаментальную сверхнизкую гравитационную частоту поля базиса:

, (3.16)

где - гравитационная постоянная. Зная гравитационную частоту, находим волновой гравитационный радиус H-атома:

, (3.17)

где - волновая скорость.

___Гравитационный радиус H-атома определяет волновую гравитационную сферу с переходной волновой зоной, разделяющую сферическое пространство-поле H-атома на ближнюю область, или область базиса, и дальнюю область, или область надстройки. Обе области базиса-надстройки образуют поле H-атома на мегауровне, т.е. его космическую структуру.

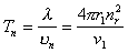
___Гравитационный радиальный период определяет также радиальную временную волну-период:

, (3.18)

которой соответствует азимутальная временная волна основного тона

, (3.19)

практически равная земным суткам. Отсюда следует, что материально-идеальная планета Земля (только на ней есть Разум в пределах Солнечной системы) подчинена гравитационному ритму микромира.

___Временная волна основного тона повторяет структуру пространственной волны основного тона на первой боровской орбите . Очевидно, в силу (3.19) Земля в составе солнечной системы занимает во временном поле-пространстве особое положение.

___Выражение (3.19) позволяет гравитационную постоянную представить так:

. (3.20)

___Гравитационный радиус H-атома в соответствии с решениями волнового уравнения в области сверхнизких частот позволяет вычислять радиусы оболочек гравитационной волновой области:

, (3.21)

которые реализованы спектром оболочек Кеплера (табл.3).

Таблица 3

Гравитационный спектр H-атомных волновых оболочек

s

Планета*

1

2.4048

787.1

Юпитер

2

5.5201

1806.7

Сатурн

3

8.6537

2832.4

Уран

4

11.7915

3905.0

.....

5

14.9309

4886.6

Нептун

6

18.0711

5914.6

Плутон

*) планеты, расположенные в относительной близости от данных оболочек.

___Дополним спектр таблицы 3 оболочками экстремумов (табл.4).

Таблица 4

Гравитационный спектр оболочек экстремумов

s

Планета

1

4.49341

1470.7

Сатурн

2

7.72525

2528.5

· · ·

3

10.9041

3567.6

· · ·

4

14.0662

4603.8

· · ·

5

17.2208

5636.1

· · ·

___

___Таким образом, на оболочках экстремумов располагается лишь Сатурн.

___Проявление гравитационных оболочек H-атома на мегауровне обусловлено тем, что Солнце есть Мегамотатор, структурными основными единицами которого являются H-атомы. Поэтому мы и видим мегаоболочки H-атома.

___Если использовать массовые скорости обмена и , тогда закон центрального обмена принимает кулоновский вид:

. (3.23)

___Таким образом, структура волновых функций уравнения (3.1) рождает второй и третий законы Кеплера и законы центрального обмена (3.14) и (3.23). Структура же функций Шредингера отрицает эти законы, и одновременно уравнение Шредингера содержит потенциальную энергию центрального сферического поля, втиснутую туда незаконно на основании пресловутого попперовского метода проб и ошибок:

. (3.24)

___В сложившейся ситуации не может быть и речи о какой-либо истинности основ квантовой механики и всех ее теоретических потомков.

___Согласно классической электромагнитной теории любая заряженная частица, движущаяся с ускорением, должна излучать электромагнитную энергию, поэтому теория Бора рождала определенные вопросы по форме и содержанию, касающиеся H-атома. Рассмотрим их в свете волновой теории поля материи-пространства-времени.

___Поле H-атома носит сферический характер, и амплитуда скорости в нем определяется равенством

, (3.25)

но структура функций Шредингера такую зависимость отрицает, и радиальные функции Шредингера неверно описывают реальную картину поля. Полярно-азимутальные функции , корректно отражающие геометрию радиальных оболочек, интерпретированы неправильно. По этой причине объяснение квантовой механикой структуры атомов, молекул и таблицы Менделеева содержит серьезные искажения, которые не дают объективной информации об атомном уровне материи-пространства-времени.

___Выражая постоянную поля скорости через параметры первой оболочки

, (3.26)

получаем для скорости n-ой оболочки соотношение

, (3.27)

где и радиус n-ой оболочки

. (3.28)

___В простейшей ситуации волн основного тона, когда электрон находится в узле полуволны, покрывающей электронную орбиту, ее длина в два раза больше орбиты:

. (3.29)

___По логике процесса правильнее было бы называть основной тон полутоном, но так уж сложилось в теории волн, что полутон называют основным тоном.

___Исходя из (3.27) и (3.29) периоды и частоты волн основного тона соответственно равны:

, . (3.30)

___Период и частота обращения электрона связаны с параметрами волны основного тона (3.30) очевидными равенствами

, .(3.30а)

___В сферическом поле элементарное действие постоянно:

, (3.31)

___Для сферического поля функций Шредингера это условие не выполняется.

___Амплитудная потенциальная энергия электрона может быть представлена на основании элементарного действия в следующей форме:

, (3.32)

где

(3.32а)

- азимутальное волновое действие и

(3.32b)

- постоянная Планка сферического поля H-атома, если - радиус Бора и - скорость Бора.

___Изменение в сферическом поле H-атома при переходе электрона с одной оболочки на другую можно оценить энергетическим равенством

, (3.33)

и принимая во внимание (3.30) находим частоту излучения :

, (3.34)

где знак минус перед разностью частот указывает на излучение энергии (потери энергии) при перехода с орбиты частоты основного тона на орбиту частоты основного тона из - состояния в -состояние.

___Равенство (3.34) по существу представляет собой закон сохранения частот в энергетических переходах H-атома.

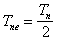
___При H-атом становиться -ионом (протоном), открытым всему полю-пространству на меру электронного обмена, поэтому граничная частота излучения

(3.35)

в согласии с формулами (3.30а) оказывается в два раза меньше частоты обращения электрона по орбите

. (3.36)

___Частоты перехода (3.34) индуцируют в пространстве базиса (вне пространства H-атома) волны

. (3.37)

___Если и , частота перехода между двумя смежными уровнями приблизительно в n раз меньше частоты обращения электрона на n-ой орбите:

, (3.38)

т.е. такой единичный переход при представляет собой атомный элемент деления орбитальной частоты в n раз.

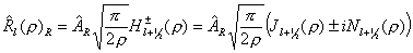
___Спектр (3.37) относится к микроуровню поля H-атома, которое в общем случае описывается решениями волнового уравнения (3.1). В экваториальной области движение электрона у поверхности H-атома согласно (3.6) определяется функцией цилиндрического поля

, (3.39)

где радиальная функция имеет вид

. (3.40)

___Именно эти решения рассматривались в данной статье. В самом деле, электрон на электронной орбите определяет единственный волновой узел, а поэтому на такой орбите, орбите основного тона, укладывается лишь полуволна, что и отмечает азимутальная функция полуцелого (полуволнового) аргумента, входящая в решение (3.39). Абсолютный период такой функции равен 4p , т.е. длина волны равна длине удвоенной круговой орбиты, при этом волновой период T и период обращения электрона на орбите Te связаны аналогичным отношением:

. (3.41)

Это соотношение еще раз поясняет равенство (3.36).

___Решения волнового уравнения сферического поля (3.2) образуют различную “ауру” H-атома, состоящую из частиц базисного и ниже расположенных уровней, массы которых значительно меньше электронных масс. И на этом тонком уровне H-атомы, безусловно, различны, и физика оперирует лишь средними массами H-атомов.

___Галактическая составляющая H-атома показывает неразрывную связь его микро- и мега-противоположностей, и тут, в который раз приходится вспоминать завещания великих мастеров русской кисти: всегда противоположности, как диалектически симметричные части, надо рисовать одновременно, а не разводить квантовомеханическую пародию абстракционистского толка - натуру нужно уважать.


К началу страницы
Назад
Предыдущая страница
Вперед
Следующая страница

Copyright © Л.Г.Крейдик , 2001-2005